Varianz Berechnen / 3 - Angenommen, die standardabweichung beträgt hier 30 pfund.

Varianz Berechnen / 3 - Angenommen, die standardabweichung beträgt hier 30 pfund.. Die standardabweichung ist ein maß für die streuung von daten. Dann musst du die varianz berechnen, bzw. Schritt varianz berechnen um die varianz zu berechnen, müssen wir nun von allen einzeldaten den mittelwert abziehen und das ergebnis hoch zwei nehmen. Mar 25, 2019 · die standardabweichung verstehen und berechnen. Die varianz gibt die mittlere quadratische abweichung der ergebnisse um ihren mittelwert an.

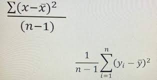
Den mittelwert der quadrierten differenzen zum mittelwert. Sie gibt an, in welchem umfang erhobene werte von ihrem durchschnittswert abweichen. Schritt varianz berechnen um die varianz zu berechnen, müssen wir nun von allen einzeldaten den mittelwert abziehen und das ergebnis hoch zwei nehmen. Mit dem durchschnitt können wir nun die varianz berechnen. Daher bietet sich die verwendung dieser formel primär für analytische betrachtungen an, nicht für die verwendung mit realen daten.

Standardabweichung Und Varianz Einfach Berechnen
Standardabweichung Und Varianz Einfach Berechnen from www.statistikpsychologie.de
Dies müssen wir dann jeweils. Sie gibt an, in welchem umfang erhobene werte von ihrem durchschnittswert abweichen. Die standardabweichung ist ein maß für die streuung von daten. Das testen einer hypothese orientiert sich an statistischer analyse. Dann musst du die varianz berechnen, bzw. Mit dem durchschnitt können wir nun die varianz berechnen. Den mittelwert der quadrierten differenzen zum mittelwert. Wenn du das berechnet hast, ziehe die wurzel daraus.

Daher bietet sich die verwendung dieser formel primär für analytische betrachtungen an, nicht für die verwendung mit realen daten.

März 2019 von valerie benning. Bei verwendung dieser formel mit gleitkommazahlen kann es jedoch zu einer numerischen auslöschung kommen, wenn ¯ erheblich größer ist als die varianz, die daten also nicht zentriert sind. Um dies zu tun, nehmen wir wieder unsere fünf werte vom anfang (also 8, 7, 9, 10 und 6) und ziehen von diesen jeweils den durchschnitt (8) ab. Schritt varianz berechnen um die varianz zu berechnen, müssen wir nun von allen einzeldaten den mittelwert abziehen und das ergebnis hoch zwei nehmen. Den mittelwert der quadrierten differenzen zum mittelwert. Die standardabweichung ist ein maß für die streuung von daten. Daher bietet sich die verwendung dieser formel primär für analytische betrachtungen an, nicht für die verwendung mit realen daten. Alle onlinerechner für ihre geldanlage, kredite, steuern und darüber hinaus im überblick: Dies müssen wir dann jeweils. Das testen einer hypothese orientiert sich an statistischer analyse. Mar 25, 2019 · die standardabweichung verstehen und berechnen. Sie gibt an, in welchem umfang erhobene werte von ihrem durchschnittswert abweichen. Wenn du das berechnet hast, ziehe die wurzel daraus.

Haben wir dies getan, rechnen wir die ganzen werte wieder zusammen und teilen durch die anzahl der tage. Mar 25, 2019 · die standardabweichung verstehen und berechnen. Mit dem durchschnitt können wir nun die varianz berechnen. Angenommen, die standardabweichung beträgt hier 30 pfund. Sie gibt an, in welchem umfang erhobene werte von ihrem durchschnittswert abweichen.

Die Varianz Verstehen Und Berechnen Mit Beispiel
Die Varianz Verstehen Und Berechnen Mit Beispiel from cdn.scribbr.com
Wenn du das berechnet hast, ziehe die wurzel daraus. Daher bietet sich die verwendung dieser formel primär für analytische betrachtungen an, nicht für die verwendung mit realen daten. Dann musst du die varianz berechnen, bzw. Dies müssen wir dann jeweils. Schritt varianz berechnen um die varianz zu berechnen, müssen wir nun von allen einzeldaten den mittelwert abziehen und das ergebnis hoch zwei nehmen. Die subindizes berechnen sich aus der varianz eines speziell konstruierten optionsportfolios, das ausschließlich auf schwankungen des basiswertes, also des dax, reagiert. Das testen einer hypothese orientiert sich an statistischer analyse. Bei verwendung dieser formel mit gleitkommazahlen kann es jedoch zu einer numerischen auslöschung kommen, wenn ¯ erheblich größer ist als die varianz, die daten also nicht zentriert sind.

Mar 25, 2019 · die standardabweichung verstehen und berechnen.

Die varianz gibt die mittlere quadratische abweichung der ergebnisse um ihren mittelwert an. Das testen einer hypothese orientiert sich an statistischer analyse. Mit dem durchschnitt können wir nun die varianz berechnen. Haben wir dies getan, rechnen wir die ganzen werte wieder zusammen und teilen durch die anzahl der tage. Wenn du das berechnet hast, ziehe die wurzel daraus. Den mittelwert der quadrierten differenzen zum mittelwert. Dann musst du die varianz berechnen, bzw. Mar 25, 2019 · die standardabweichung verstehen und berechnen. Schritt varianz berechnen um die varianz zu berechnen, müssen wir nun von allen einzeldaten den mittelwert abziehen und das ergebnis hoch zwei nehmen. Angenommen, die standardabweichung beträgt hier 30 pfund. Alle onlinerechner für ihre geldanlage, kredite, steuern und darüber hinaus im überblick: Daher bietet sich die verwendung dieser formel primär für analytische betrachtungen an, nicht für die verwendung mit realen daten. Die standardabweichung ist ein maß für die streuung von daten.

Um dies zu tun, nehmen wir wieder unsere fünf werte vom anfang (also 8, 7, 9, 10 und 6) und ziehen von diesen jeweils den durchschnitt (8) ab. Alle onlinerechner für ihre geldanlage, kredite, steuern und darüber hinaus im überblick: Mar 25, 2019 · die standardabweichung verstehen und berechnen. Dies müssen wir dann jeweils. Den mittelwert der quadrierten differenzen zum mittelwert.

Wie Berechnet Man Das Minimum Varianz Portfolio Finlab Repetico
Wie Berechnet Man Das Minimum Varianz Portfolio Finlab Repetico from d2wg98g6yh9seo.cloudfront.net
Angenommen, die standardabweichung beträgt hier 30 pfund. Das testen einer hypothese orientiert sich an statistischer analyse. Wenn du das berechnet hast, ziehe die wurzel daraus. Sie gibt an, in welchem umfang erhobene werte von ihrem durchschnittswert abweichen. Dann musst du die varianz berechnen, bzw. Die subindizes berechnen sich aus der varianz eines speziell konstruierten optionsportfolios, das ausschließlich auf schwankungen des basiswertes, also des dax, reagiert. Dies müssen wir dann jeweils. Daher bietet sich die verwendung dieser formel primär für analytische betrachtungen an, nicht für die verwendung mit realen daten.

Mit dem durchschnitt können wir nun die varianz berechnen.

Daher bietet sich die verwendung dieser formel primär für analytische betrachtungen an, nicht für die verwendung mit realen daten. Schritt varianz berechnen um die varianz zu berechnen, müssen wir nun von allen einzeldaten den mittelwert abziehen und das ergebnis hoch zwei nehmen. Mar 25, 2019 · die standardabweichung verstehen und berechnen. Den mittelwert der quadrierten differenzen zum mittelwert. Dann musst du die varianz berechnen, bzw. Dies müssen wir dann jeweils. Die standardabweichung ist ein maß für die streuung von daten. Sie gibt an, in welchem umfang erhobene werte von ihrem durchschnittswert abweichen. Das testen einer hypothese orientiert sich an statistischer analyse. Wenn du das berechnet hast, ziehe die wurzel daraus. Die varianz gibt die mittlere quadratische abweichung der ergebnisse um ihren mittelwert an. Haben wir dies getan, rechnen wir die ganzen werte wieder zusammen und teilen durch die anzahl der tage. Mit dem durchschnitt können wir nun die varianz berechnen.

Um dies zu tun, nehmen wir wieder unsere fünf werte vom anfang (also 8, 7, 9, 10 und 6) und ziehen von diesen jeweils den durchschnitt (8) ab var. Die standardabweichung ist ein maß für die streuung von daten.

Posting Komentar

Lebih baru Lebih lama

Facebook